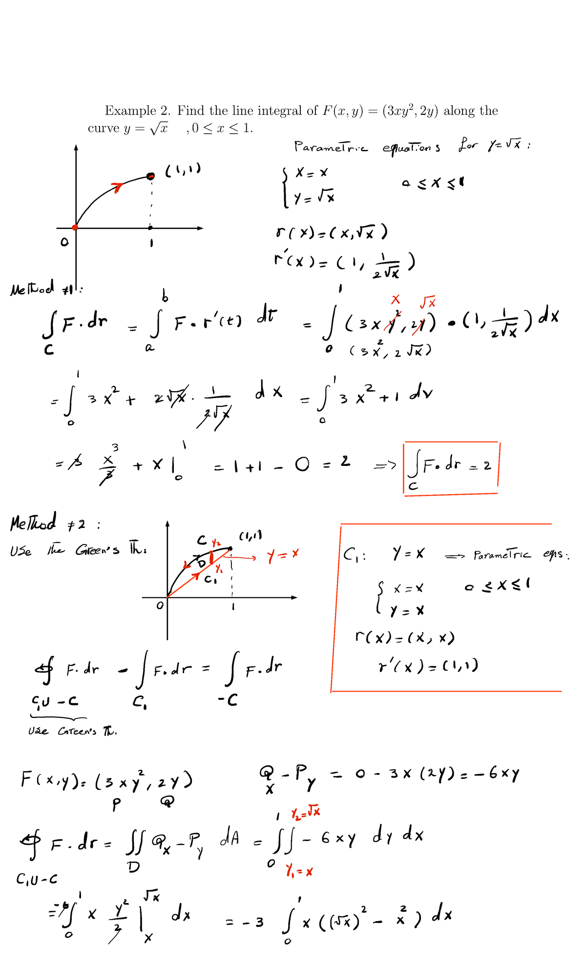
Final+Exam+Review 1+copy+2 solution 2 - Math209 - Example 2. Find the ...
Learning

Final+Exam+Review 1+copy+2 solution 2 - Math209 - Example 2. Find the ...

1200 ร— 1976 px September 24, 2025 Ashley Learning

Preparing for a Calc Final Exam can be a daunting task, but with the right strategies and resources, you can approach it with confidence. Calculus is a foundational subject in mathematics that requires a deep understanding of concepts and the ability to apply them to various problems. Whether you are a student aiming for a high grade or someone looking to refresh their calculus skills, this guide will provide you with essential tips and techniques to excel in your Calc Final Exam.

Understanding the Basics

Before diving into advanced topics, it is crucial to have a solid grasp of the basics. Calculus is built on fundamental concepts such as limits, derivatives, and integrals. Here are some key areas to focus on:

  • Limits: Understand the concept of limits and how to evaluate them. This includes one-sided limits, infinite limits, and limits at infinity.
  • Derivatives: Learn how to find derivatives of various functions, including polynomial, exponential, logarithmic, and trigonometric functions. Understand the rules of differentiation, such as the product rule, quotient rule, and chain rule.
  • Integrals: Familiarize yourself with both definite and indefinite integrals. Learn how to evaluate integrals using techniques such as substitution, integration by parts, and partial fractions.

Practice Problems

Practice is key to mastering calculus. Solving a variety of problems will help you understand different types of questions that may appear on your Calc Final Exam. Here are some tips for effective practice:

  • Textbook Problems: Work through the problems in your textbook. Start with the easier ones and gradually move to more challenging problems.
  • Past Exams: If available, practice with past Calc Final Exams. This will give you an idea of the format and types of questions to expect.
  • Online Resources: Utilize online platforms that offer calculus practice problems and solutions. Websites like Khan Academy and Paul's Online Math Notes can be very helpful.

When practicing, make sure to:

  • Attempt problems without looking at the solutions first.
  • Check your answers and understand any mistakes you make.
  • Review the concepts related to the problems you found challenging.

๐Ÿ“ Note: Consistency is key. Aim to practice a little each day rather than cramming all your studying into one session.

Study Techniques

Effective study techniques can significantly improve your performance on the Calc Final Exam. Here are some strategies to consider:

  • Flashcards: Use flashcards to memorize formulas and key concepts. This can be particularly helpful for remembering derivatives and integrals of common functions.
  • Group Study: Studying with peers can be beneficial. You can explain concepts to each other, solve problems together, and learn from different perspectives.
  • Teach Others: Teaching calculus concepts to someone else can help reinforce your own understanding. Try explaining a concept to a friend or family member.

Additionally, consider the following tips:

  • Take regular breaks to avoid burnout. Techniques like the Pomodoro Technique, where you study for 25 minutes and then take a 5-minute break, can be effective.
  • Stay organized. Keep your notes and practice problems in a structured manner so you can easily review them.

Common Mistakes to Avoid

During your preparation for the Calc Final Exam, be aware of common mistakes that students often make:

  • Misunderstanding Concepts: Ensure you fully understand the underlying concepts rather than just memorizing formulas.
  • Careless Errors: Double-check your calculations to avoid simple mistakes that can cost you points.
  • Time Management: Practice solving problems under exam conditions to improve your speed and accuracy.

Here is a table summarizing some common mistakes and how to avoid them:

Common Mistake How to Avoid
Misinterpreting the Problem Read the problem carefully and identify what is being asked.
Incorrect Application of Formulas Review and practice using formulas correctly.
Forgetting Units Always include units in your answers where applicable.

๐Ÿ“ Note: Reviewing your mistakes and understanding why they occurred can help you avoid repeating them in the future.

Exam Strategies

On the day of the Calc Final Exam, having a solid strategy can make a significant difference. Here are some tips to help you perform your best:

  • Review Key Concepts: Spend the last few minutes before the exam reviewing key formulas and concepts.
  • Read Instructions Carefully: Make sure you understand what is being asked in each question.
  • Manage Your Time: Allocate your time wisely. If you get stuck on a problem, move on and come back to it later.

During the exam, consider the following:

  • Show your work clearly. Even if you make a mistake, partial credit can be awarded for correct steps.
  • Check your answers if time allows. Look for common errors such as sign mistakes or incorrect units.

After the exam, take a moment to reflect on your performance. Identify areas where you did well and areas where you struggled. This can help you improve in future exams.

๐Ÿ“ Note: Stay calm and focused during the exam. Panicking can lead to careless mistakes and poor performance.

Additional Resources

In addition to your textbook and practice problems, there are several resources that can enhance your preparation for the Calc Final Exam:

  • Online Tutorials: Websites like YouTube have numerous tutorials on calculus topics. Channels like Organic Chemistry Tutor and Professor Leonard offer clear explanations and examples.
  • Study Groups: Join or form a study group with classmates. Collaborative learning can be very effective.
  • Tutoring: If you are struggling with certain concepts, consider getting a tutor. Many universities offer free tutoring services.

Utilizing these resources can provide you with different perspectives and explanations, making it easier to understand complex topics.

Remember, the key to success in your Calc Final Exam is consistent practice, a solid understanding of concepts, and effective study techniques. By following the strategies outlined in this guide, you can approach your exam with confidence and achieve the results you desire.

Preparing for a Calc Final Exam requires dedication and a systematic approach. By focusing on the basics, practicing regularly, and using effective study techniques, you can build a strong foundation in calculus. Avoiding common mistakes and employing smart exam strategies will further enhance your performance. Utilize additional resources to gain different perspectives and reinforce your understanding. With these steps, you will be well-prepared to tackle your Calc Final Exam and achieve success.

Related Terms:

  • pre calc final exam
  • calc final exam review
  • final exma calc
  • pre calc final exam review
  • exam clac
  • calc finals review

More Images