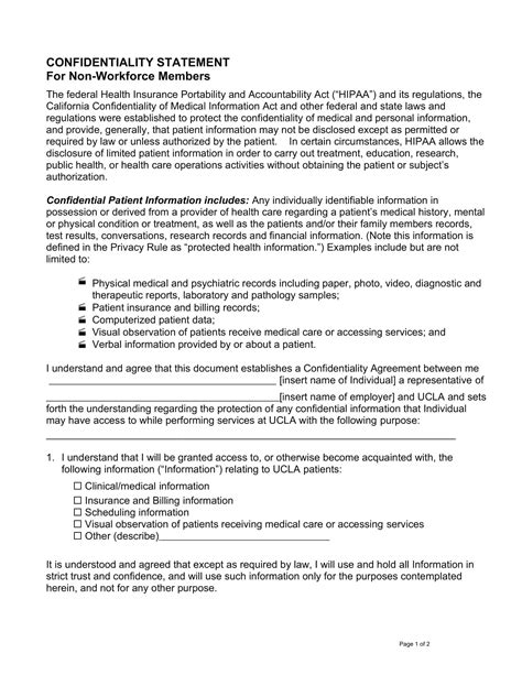
Childcare agreement template - free to use
Learning

Childcare agreement template - free to use

1024 × 1165 px July 10, 2025 Ashley Learning

Social agreements are the backbone of any functional society, governing interactions and ensuring harmony among individuals. These agreements, whether formal or informal, shape our daily lives and influence our behaviors. Examples of social agreements are ubiquitous, ranging from simple courtesies to complex legal frameworks. Understanding these agreements helps us navigate social landscapes more effectively and fosters a sense of community and mutual respect.

Understanding Social Agreements

Social agreements are the unwritten rules and norms that guide our behavior in various social settings. They can be explicit, like laws and regulations, or implicit, like cultural norms and etiquette. These agreements are essential for maintaining order and promoting cooperation within societies. They help us understand what is expected of us and what we can expect from others.

Examples of social agreements can be found in every aspect of life, from the workplace to family dynamics. For instance, in a workplace setting, social agreements might include punctuality, respect for colleagues, and adherence to company policies. In a family, agreements might involve sharing responsibilities, respecting each other's personal space, and maintaining open communication.

Types of Social Agreements

Social agreements can be categorized into several types, each serving a unique purpose in society. Understanding these types helps us appreciate the diversity and complexity of social interactions.

Formal Social Agreements

Formal social agreements are those that are explicitly stated and often enforced by legal or institutional means. These agreements are crucial for maintaining order and justice in society. Examples include:

  • Contracts: Legal documents that outline the terms and conditions of an agreement between parties. These can range from employment contracts to business agreements.
  • Laws and Regulations: Rules established by governments to govern behavior and ensure public safety and welfare. Examples include traffic laws, tax regulations, and criminal codes.
  • Treaties and International Agreements: Formal agreements between nations that address issues such as trade, security, and environmental protection.

Informal Social Agreements

Informal social agreements are those that are not explicitly stated but are understood and followed by members of a society. These agreements are often based on cultural norms, traditions, and etiquette. Examples include:

  • Cultural Norms: Unwritten rules that dictate acceptable behavior within a particular culture. For example, in some cultures, it is customary to remove shoes before entering a home.
  • Etiquette: Rules of polite behavior that guide social interactions. Examples include saying "please" and "thank you," holding doors open for others, and maintaining personal hygiene.
  • Social Customs: Traditions and practices that are specific to a community or group. For example, shaking hands when greeting someone is a common social custom in many Western cultures.

Examples of Social Agreements in Daily Life

Social agreements are not just theoretical concepts; they are integral to our daily lives. Here are some examples of social agreements that we encounter regularly:

Workplace Agreements

In the workplace, social agreements help maintain a productive and harmonious environment. These agreements can be both formal and informal. Examples include:

  • Dress Code: Guidelines on appropriate attire for the workplace. This can be explicitly stated in an employee handbook or understood through observation.
  • Meeting Etiquette: Rules for conducting meetings, such as arriving on time, staying on topic, and respecting others' opinions.
  • Teamwork and Collaboration: Agreements to work together towards common goals, share responsibilities, and support each other.

Family Agreements

Within families, social agreements help maintain a sense of order and mutual respect. These agreements can vary widely depending on cultural and personal values. Examples include:

  • Chores and Responsibilities: Agreements on who is responsible for what tasks, such as cooking, cleaning, and grocery shopping.
  • Communication: Rules for open and respectful communication, such as listening actively and avoiding interrupting.
  • Personal Space and Privacy: Agreements on respecting each other's personal space and privacy, such as knocking before entering a room.

Community Agreements

In communities, social agreements help foster a sense of belonging and mutual support. These agreements can be both formal and informal. Examples include:

  • Neighborhood Watch: Formal agreements among neighbors to look out for each other's safety and report suspicious activities.
  • Community Events: Informal agreements to participate in and support community events, such as festivals, fundraisers, and volunteer activities.
  • Shared Resources: Agreements on the use and maintenance of shared resources, such as parks, libraries, and community centers.

The Importance of Social Agreements

Social agreements play a crucial role in maintaining social order and promoting cooperation. They help us understand what is expected of us and what we can expect from others. By adhering to these agreements, we contribute to a harmonious and functional society.

Social agreements also foster a sense of community and mutual respect. They help us build relationships based on trust and understanding, which are essential for personal and societal well-being. By recognizing and respecting the social agreements around us, we can enhance our interactions and create a more cohesive society.

Moreover, social agreements provide a framework for resolving conflicts and addressing issues. They help us navigate disagreements and find solutions that are acceptable to all parties involved. By adhering to these agreements, we can promote peace and harmony within our communities.

Examples of social agreements are all around us, from the simple courtesies we extend to others to the complex legal frameworks that govern our societies. Understanding and respecting these agreements is essential for maintaining social order and promoting cooperation. By recognizing the importance of social agreements, we can enhance our interactions and create a more harmonious and functional society.

📝 Note: Social agreements are not static; they evolve over time as societies change. It is important to stay informed about the agreements that govern our interactions and adapt to new norms and expectations.

Social agreements are the foundation of our interactions and relationships. They guide our behavior, promote cooperation, and foster a sense of community. By understanding and respecting these agreements, we can enhance our interactions and create a more harmonious and functional society. Whether formal or informal, social agreements play a crucial role in maintaining social order and promoting well-being. By recognizing the importance of these agreements, we can contribute to a more cohesive and respectful society.

Related Terms:

  • theories of social contract
  • hobbes social contract examples
  • social contract theory examples
  • what is the social contract
  • define social contract in politics

More Images