In Personam Jurisdiction

In Personam Jurisdiction

Understanding the intricacies of In Personam Jurisdiction is crucial for anyone involved in legal proceedings, whether as a plaintiff, defendant, or legal professional. This concept forms the backbone of many legal strategies and decisions, influencing how and where legal actions can be pursued. This post delves into the fundamentals of In Personam Jurisdiction, its significance, the criteria for establishing it, and its implications in various legal contexts.

What is In Personam Jurisdiction?

In Personam Jurisdiction refers to the authority of a court to make a binding decision on the rights and obligations of a specific individual or entity. This type of jurisdiction is distinct from In Rem Jurisdiction, which pertains to the court’s authority over property, and Quasi In Rem Jurisdiction, which involves the court’s authority over property to resolve disputes involving the property owner. In Personam Jurisdiction is essential because it allows courts to issue judgments that are enforceable against the person or entity, regardless of where they are located.

The Significance of In Personam Jurisdiction

In Personam Jurisdiction is pivotal in ensuring that legal actions are fair and just. It ensures that defendants have a meaningful opportunity to defend themselves and that judgments are enforceable. Without this jurisdiction, courts would lack the authority to issue binding decisions, making legal proceedings ineffective. This type of jurisdiction is particularly important in cases involving personal disputes, such as contract breaches, tort claims, and family law matters.

Establishing In Personam Jurisdiction

To establish In Personam Jurisdiction, several criteria must be met. These criteria ensure that the court has a legitimate basis for exercising authority over the defendant. The primary criteria include:

  • Personal Service: The defendant must be personally served with the legal documents within the jurisdiction of the court. This ensures that the defendant is aware of the legal action and has the opportunity to respond.
  • Consent: The defendant may consent to the court’s jurisdiction, either explicitly or implicitly. This can occur through agreements, contracts, or other legal documents.
  • Presence: The defendant’s physical presence within the jurisdiction at the time of service can establish In Personam Jurisdiction. This is often referred to as “tag jurisdiction” because it involves “tagging” the defendant within the jurisdiction.
  • Domicile: If the defendant is a resident of the jurisdiction, the court can exercise In Personam Jurisdiction. This is because the defendant has a significant connection to the jurisdiction.
  • Long-Arm Statutes: Many jurisdictions have long-arm statutes that allow courts to exercise In Personam Jurisdiction over defendants who have certain minimum contacts with the jurisdiction. These contacts can include:
    • Transacting business within the jurisdiction
    • Committing a tortious act within the jurisdiction
    • Entering into a contract with a resident of the jurisdiction
    • Owning, using, or possessing property within the jurisdiction

📝 Note: The specific requirements for establishing In Personam Jurisdiction can vary depending on the jurisdiction and the type of case. It is essential to consult with a legal professional to understand the applicable laws and procedures.

Minimum Contacts and Fair Play

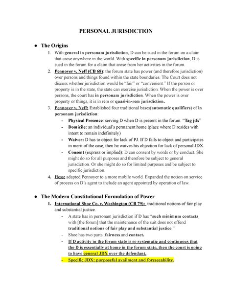
One of the most critical aspects of In Personam Jurisdiction is the concept of “minimum contacts.” This principle ensures that the defendant has a sufficient connection to the jurisdiction to make it fair and reasonable for the court to exercise authority over them. The minimum contacts test was established in the landmark case International Shoe Co. v. Washington, where the U.S. Supreme Court held that a defendant must have certain minimum contacts with the forum state such that the maintenance of the suit does not offend “traditional notions of fair play and substantial justice.”

To determine whether minimum contacts exist, courts consider several factors, including:

  • The nature and quality of the contacts between the defendant and the jurisdiction
  • The quantity of the contacts
  • The defendant's purposeful availment of the benefits and protections of the jurisdiction's laws
  • The foreseeability of being haled into court in the jurisdiction
  • The interest of the forum state in adjudicating the dispute
  • The convenience of the parties
  • The efficiency of the judicial system

If the defendant has sufficient minimum contacts with the jurisdiction, the court can exercise In Personam Jurisdiction. However, if the contacts are insufficient, the court may lack the authority to issue a binding decision, and the case may be dismissed for lack of jurisdiction.

Challenging In Personam Jurisdiction

Defendants have the right to challenge In Personam Jurisdiction if they believe the court lacks the authority to exercise it. This challenge can be made through a motion to dismiss for lack of personal jurisdiction. The burden of proof is on the plaintiff to establish that the court has In Personam Jurisdiction. If the plaintiff fails to meet this burden, the case may be dismissed.

To challenge In Personam Jurisdiction, defendants can argue that:

  • They lack sufficient minimum contacts with the jurisdiction
  • The exercise of jurisdiction would offend traditional notions of fair play and substantial justice
  • The court's exercise of jurisdiction would be unreasonable and inconvenient

If the court agrees with the defendant's arguments, it may dismiss the case for lack of In Personam Jurisdiction. However, if the court finds that In Personam Jurisdiction exists, the case will proceed to trial.

In Personam Jurisdiction plays a crucial role in various legal contexts, including:

Contract Disputes

In contract disputes, In Personam Jurisdiction is often established through the defendant’s consent to the jurisdiction, as outlined in the contract. This can occur through forum selection clauses, which specify the court that will have jurisdiction over any disputes arising from the contract. If the defendant agrees to the forum selection clause, the court can exercise In Personam Jurisdiction over them.

Tort Claims

In tort claims, In Personam Jurisdiction can be established through the defendant’s actions within the jurisdiction. For example, if the defendant commits a tortious act within the jurisdiction, the court can exercise In Personam Jurisdiction over them. This is because the defendant’s actions have a direct connection to the jurisdiction, making it fair and reasonable for the court to adjudicate the dispute.

Family Law Matters

In family law matters, In Personam Jurisdiction is often established through the defendant’s residence or domicile within the jurisdiction. For example, if the defendant is a resident of the jurisdiction, the court can exercise In Personam Jurisdiction over them in matters such as divorce, child custody, and child support. This is because the defendant has a significant connection to the jurisdiction, making it appropriate for the court to adjudicate the dispute.

International Cases

In international cases, In Personam Jurisdiction can be more complex due to the involvement of multiple jurisdictions. However, courts can still exercise In Personam Jurisdiction over defendants who have sufficient minimum contacts with the jurisdiction. This can include defendants who:

  • Transact business within the jurisdiction
  • Commit tortious acts within the jurisdiction
  • Enter into contracts with residents of the jurisdiction
  • Own, use, or possess property within the jurisdiction

In international cases, courts must also consider the principles of comity and international comity, which require courts to respect the laws and judicial decisions of other countries. This can impact the court's ability to exercise In Personam Jurisdiction over foreign defendants.

In Personam Jurisdiction and Due Process

In Personam Jurisdiction is closely tied to the principles of due process, which ensure that legal proceedings are fair and just. Due process requires that defendants have a meaningful opportunity to defend themselves and that judgments are enforceable. In Personam Jurisdiction ensures that courts have the authority to issue binding decisions, which are essential for the effective resolution of disputes.

To comply with due process, courts must ensure that defendants have sufficient notice of the legal action and the opportunity to respond. This can be achieved through personal service, consent, presence, domicile, or long-arm statutes. If the court fails to comply with due process, the defendant can challenge In Personam Jurisdiction and seek to have the case dismissed.

In Personam Jurisdiction and Forum Non Conveniens

In Personam Jurisdiction is also related to the doctrine of forum non conveniens, which allows courts to dismiss cases if they determine that another forum is more convenient and appropriate for the resolution of the dispute. Even if a court has In Personam Jurisdiction over a defendant, it may still dismiss the case if it finds that another forum is more suitable.

The factors considered in determining forum non conveniens include:

  • The convenience of the parties
  • The convenience of the witnesses
  • The ease of access to evidence
  • The enforceability of the judgment
  • The interest of justice

If the court finds that another forum is more convenient and appropriate, it may dismiss the case and allow the plaintiff to pursue the dispute in the more suitable forum. However, if the court determines that the current forum is the most appropriate, it will proceed with the case.

In Personam Jurisdiction and Venue

In Personam Jurisdiction is distinct from the concept of venue, which refers to the specific court or location within a jurisdiction where a case should be heard. While In Personam Jurisdiction determines whether a court has the authority to exercise jurisdiction over a defendant, venue determines the appropriate court within the jurisdiction.

Venue is typically determined by factors such as:

  • The residence or domicile of the defendant
  • The location where the cause of action arose
  • The location where the contract was executed or performed
  • The location where the property is situated

If the court determines that the venue is improper, it may transfer the case to a more appropriate court within the jurisdiction. However, if the venue is proper, the case will proceed in the designated court.

In Personam Jurisdiction and Service of Process

Service of process is a critical aspect of establishing In Personam Jurisdiction. Service of process refers to the delivery of legal documents, such as complaints and summonses, to the defendant. Proper service of process ensures that the defendant is aware of the legal action and has the opportunity to respond.

Service of process can be achieved through various methods, including:

  • Personal service: Delivering the documents directly to the defendant
  • Substituted service: Leaving the documents with a person of suitable age and discretion at the defendant's residence or place of business
  • Service by mail: Sending the documents to the defendant by certified mail, return receipt requested
  • Service by publication: Publishing a notice of the legal action in a newspaper or other public forum

If the defendant challenges the service of process, the court may require the plaintiff to provide evidence of proper service. If the court finds that the service was improper, it may dismiss the case for lack of In Personam Jurisdiction.

In Personam Jurisdiction and the Internet

The rise of the internet has complicated the issue of In Personam Jurisdiction, as it has made it easier for individuals and entities to conduct business and interact across borders. Courts have had to adapt their approaches to In Personam Jurisdiction to account for the unique challenges posed by the internet.

In internet cases, courts consider factors such as:

  • The defendant's website and its interactivity with users in the jurisdiction
  • The defendant's use of cookies, tracking, and other technologies to monitor users in the jurisdiction
  • The defendant's targeted marketing and advertising to users in the jurisdiction
  • The defendant's contracts and transactions with users in the jurisdiction

If the court finds that the defendant has sufficient minimum contacts with the jurisdiction through their internet activities, it can exercise In Personam Jurisdiction over them. However, if the contacts are insufficient, the court may lack the authority to issue a binding decision.

In Personam Jurisdiction and the Future

As legal systems continue to evolve, the concept of In Personam Jurisdiction will remain a fundamental aspect of legal proceedings. The increasing globalization of business and the rise of the internet will present new challenges and opportunities for establishing In Personam Jurisdiction. Courts will need to adapt their approaches to ensure that legal proceedings are fair, just, and effective.

In the future, we can expect to see continued developments in the law of In Personam Jurisdiction, including:

  • New case law and statutory provisions addressing the unique challenges posed by the internet and global business
  • Increased use of technology in the service of process and the enforcement of judgments
  • Greater cooperation and coordination among courts in different jurisdictions to ensure the effective resolution of disputes

As these developments occur, it will be essential for legal professionals to stay informed and up-to-date on the latest trends and best practices in In Personam Jurisdiction. This will ensure that they can effectively represent their clients and achieve the best possible outcomes in legal proceedings.

In the rapidly changing legal landscape, understanding In Personam Jurisdiction is more important than ever. By grasping the fundamentals of this concept and staying informed about the latest developments, legal professionals can navigate the complexities of jurisdiction and ensure that their clients receive fair and just treatment in legal proceedings. Whether dealing with contract disputes, tort claims, family law matters, or international cases, a solid understanding of In Personam Jurisdiction is essential for success in the legal arena.

In Personam Jurisdiction is a cornerstone of legal proceedings, ensuring that courts have the authority to issue binding decisions and that defendants have a meaningful opportunity to defend themselves. By understanding the criteria for establishing In Personam Jurisdiction, the significance of minimum contacts, and the implications of due process and forum non conveniens, legal professionals can effectively represent their clients and achieve the best possible outcomes. As the legal landscape continues to evolve, staying informed about the latest developments in In Personam Jurisdiction will be crucial for success in the legal arena.

Related Terms:

  • in personam claim
  • in personam jurisdiction meaning
  • quasi in personam jurisdiction
  • quasi in rem jurisdiction
  • in personam jurisdiction definition law
  • in personam jurisdiction minimum contacts